¿Qué es el Cistus de Creta?
El Cistus de Creta, científicamente conocido como Cistus creticus o Cistus incanus subsp. creticus, es una planta del género Cistus, de la familia de las Cistáceas, que fue descrita por Carl von Linné en su libro Species Plantarum. Estos Cistus, de los que hay diversas especies, se conocen popularmente como Jara, una planta típica de las zonas de maquia o garriga mediterráneas, que se adapta muy bien a los terrenos rocosos y a la escasez de agua. En este mapa podemos ver la distribución geográfica de las distintas especies. En Menorca y otras zonas se las conoce también con el nombre de Estepa (en catalán Estèpera)1, 2, 3.
De entre las diversas jaras, el Cistus creticus es el que más propiedades terapéuticas ha demostrado tener, y se utiliza desde la antiguedad como remedio para la gripe, el resfriado, los dolores de garganta y de oído. También se utiliza como antitusivo, antiespasmódico y antidiarreico.
Flor de la planta Cistus creticus. Foto Peter A. Mansfeld.
Un remedio tradicional en forma de infusión
La infusión de hojas de Cistus es un remedio clásico de la medicina tradicional mediterránea, y si bien no es tan conocido como el té verde, es mucho más rico en sustancias antioxidantes que este. De hecho, de entre las plantas que se toman como infusión, es la que mayor cantidad de sustancias polifenólicas contiene. Este hecho le confiere una serie de propiedades que la medicina tradicional de países como España, Italia, Grecia y Turquía, ha utilizado desde la antigüedad, y de las que destacamos las siguientes:
- Estimulación del sistema inmune, por lo que en caso de resfriado o gripe, aumenta la resistencia del organismo a los mismos, disminuye la intensidad de los síntomas y acorta la duración de la enfermedad.
- Proporciona alivio a los hombres que sufren de hipertrofia prostática, pues tiene propiedades antiproliferativas y citotóxicas.
- Ayuda a limpiar el organismo de toxinas, por lo que es muy apropiado para fumadores y personas que viven en grandes ciudades, donde la contaminación es muy alta.
- Tiene propiedades antiinflamatorias, antialérgicas, antibacterianas, antivirales y antifúngicas.
- También ayuda a prevenir la enfermedad isquémica coronaria, pues por sus propiedades anticoagulantes ayuda a disolver los trombos sanguíneos.
- Es un potente antioxidante con gran capacidad para bloquear los radicales libres y disminuir la acción de la colagenasa. Por ello tiene un efecto antiinflamatorio, revitalizante y rejuvenecedor sobre el organismo.
- Efectivo contra la espiroqueta, parásito causante de la enfermedad de Lyme.
- Muy útil para la higiene de la cavidad oral. También tiene un efecto blanqueador de los dientes.
- Cambia el olor de la secreción corporal, por lo que puede utilizarse como antitranspirante.
El ládano o labdano: la resina de la Jara
El Cistus creticus es una planta, que al igual que el Cistus ladanifer, produce una sustancia resinosa denominada ládano o labdanum (también se la ha denominado labdano o laudanum). Es producida en los tricomas, que son unas glándulas secretoras, que en este caso, están distribuidas por todas las partes aéreas de la planta. Esta resina se utlizó ampliamente durante años en herboristería y perfumería. Como resina o goma medicinal formaba parte del incienso y se utilizaba para tratar resfriados, tos, dolores menstruales y reumatismo.
En perfumería se ha utilizado el ládano para sustituir al ámbar y al almizcle, sustancias hoy en día difíciles de encontrar por la protección a la que, por suerte, están sometidos los animales que las producen: cachalote y ciervo almizclero respectivamente.
Diterpenos labdánicos
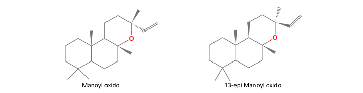
El ládano contiene sustancias terpénicas, entre las cuáles son características los diterpénos labdánicos4. Los diterpenos son sustancias que han demostrado su capacidad antibacteriana5. El 59,59% de los componentes del aceite de las hojas de Cistus creticus, son diterpenos. Entre ellos los dos más abundantes son el manoil óxido (19,61%) y el 13-epi-manoil óxido (13,44%). Este aceite demostró en un estudio tener una gran actividad contra las bacterias Gram positivas6.

Estructura química de los principales diterpenos labdánicos
También contiene compuestos fenólicos, como elagitaninos, galotaninos y flavonoides.
Principios activos de las plantas del género Cistus
Las plantas del género Cistus, entre las que se encuentra el Cistus de Creta son ricas en compuestos terpenoides4 y en compuestos fenólicos. Entre los terpenoides encontramos monoterpenos (alfa-pineno, limoneno, timol, carvacrol, camfeno...), sesquiterpenos (beta-sesquifelandreno, beta-cariofileno, alfa-zingibereno...) y diterpenos, entre los que predominan los labdánicos, como los ya comentados en el apartado anterior4.
Otras sustancias que se han encontrado en las plantas del género Cistus comprenden hidrocarburos (docosano, octacosano, nonacosano, etc.), ácidos grasos (ácido tetradecanoico, ácido pentadecanoico, ácido linoleico, etc.), compuestos carbonílicos (aldehídos alifáticos: octanal, nonanal, etc.), fitormonas y vitaminas (alfa-tocoferol)4.
Flavonoides y taninos
Entre los compuestos fenólicos, encontramos mayoritariamente fenilpropanoides, entre los que cabe destacar los flavonoides y las proantocianidinas (taninos condensados)4. Se han investigado y analizado los flavonoides y los taninos condensados del género Cistus incanus5. Estos compuestos se encuentran tanto en la resina como en el resto de tejidos de la planta: tallos, hojas, flores, polen, etc.
Varios estudios han determinado por cromatografía de líquidos de alta resolución -HPLC- y un detector de matriz de diodos -DAD-, la existencia en las especies del género Cistus de cinco catequinas (flavonoles o flavan-3-oles) principales: (+)-catequina, (−)-epicatequina, (−)-galocatequina, (−)-epigalocatequina, (−)- epigalocatequina galato, y también metabolitos fenólicos de la planta como el acido gálico y la rutina, en extractos liofilizados de las mismas6, 7.
Fórmula de las catequinas existentes en el género Cistus
Otros estudios han demostrado la existencia de diversos flavonoides como son quercitina, miricetina, kaempferol, apigenina y sus derivados, en las hojas y la resina de Cistus creticus8.
Entre los taninos de las plantas del género Cistus, encontramos los elagitaninos, compuestos por hexahidroxidifenoil-glucosa y ácido gálico5. Se encuentran en las partes aéreas, especialmente en las hojas jóvenes.
Estructura química de los taninos de Cistus incanus. Imagen Kolodziej, H., Nahrstedt, A.
Usos terapéuticos del Cistus de Creta
Tratamiento y prevención de la gripe y del resfriado
Los extractos de Cistus incanus han demostrado tener actividad contra los síntomas de las enfermedades respiratorias de las vías altas9 como la gripe o el resfriado. Se ha comprobado la capacidad de Cistus incanus para mejorar los síntomas de personas con infecciones de las vías respiratorias altas10.
Esto es muy interesante porque el virus influenza A, especialmente del subtipo H5N1, constituye un grave problema de salud por su gran capacidad para infectar y por su potencial letalidad. Los extractos polifenólicos de Cistus, no sólo poseen una potente actividad contra este virus, sino que no presentan efectos secundarios y a diferencia de la amantadina, los virus no desarrollan resistencia a dichos extractos11.
En cuanto al mecanismo de acción de estos polifenoles, parece ser que se unen a la superficie de los virus, inhibiendo así la unión de la hemaglutinina a las células de la persona infectada. Esta capacidad podría teóricamente utilizarse también como prevención de la invasión vírica, aplicando el extracto en las vías de entrada del virus12.
Actividad antivírica
Los extractos de Cistus han demostrado también tener actividad contra el virus del SIDA -HIV- in vitro13.
Actividad antibacteriana y antifúngica
Se ha demostrado la actividad antiinfecciosa de las plantas del género Cistus14, no sólo antivírica, sino también antifúngica y antibacteriana. Un estudio demostró la actividad antibacteriana de los diterpenos labdánicos de Cistus creticus15.
Otro estudio comprobó que un te de Cistus incanus, conteniendo polifenoles, posee propiedades antibacterianas y antiadherentes contra la bacteria Streptococcus mutans16.
Actividad antiparasitaria
Cistus creticus, posee también actividad antiparasitaria, concretamente contra la malaria y la leishmaniosis17.
Actividad anticancerígena
Los extractos de Cistus poseen actividad in vitro contra diversas líneas de celulas cancerosas humanas18. Diversos estudios valoraron la posible actividad anticancerígna de los diterpenos labdánicos de Cistus creticus para el tratamiento de la leucemia19, 20.
Antioxidante
Los extractos polifenólicos de las hojas de Cistus incanus poseen una potente actividad antioxidante21, 22. Esta acción, liberando a nuestro organismo de compuestos tóxicos, podría contribuir a su gran capacidad inmunoestimuladora, y al aumento de la resistencia contra el resfriado y la gripe.
Posibles efectos secundarios
El Cistus de Creta es una planta muy segura y son muy pocos los efectos secundarios que se han registrado en la bibliografía cinetífica. Esta planta, y otras del género Cistus, han venido utilizándose durante siglos en el sur de Europa, sin prácticamente registro de toxicidad alguna.
Contraindicaciones
No se conocen. Sin embargo, como la mayoría de productos que contienen flavonoides poseen propiedades antiagregantes plaquetarias, recomendamos la máxima precaución y control de aquellas personas que esten haciendo un tratamiento con anticoagulantes orales.
Más información
Comprar productos que contengan Cistus de Creta